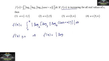
If f(α)=∫1α log10⁡t/1+tdt,α0, then fe3+fe−3 is equal to

Tonton & Download Video Musik Gratis

⬇ DOWNLOAD NOW
Kalau muncul iklan pop-up, tutup lalu klik tombol kembali

Download lagu If f(α)=∫1α log10⁡t/1+tdt,α0, then fe3+fe−3 is equal to secara gratis hanya untuk keperluan promosi. Dukung artis favorit kamu dengan membeli musik original di iTunes atau platform resmi lainnya.