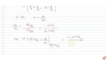
Find the equation of normal to the curve `x=cos theta, y = sin theta\" at point \"theta = pi/4*`

Tonton & Download Video Musik Gratis

⬇ DOWNLOAD NOW
Kalau muncul iklan pop-up, tutup lalu klik tombol kembali

Download lagu Find the equation of normal to the curve `x=cos theta, y = sin theta\" at point \"theta = pi/4*` secara gratis hanya untuk keperluan promosi. Dukung artis favorit kamu dengan membeli musik original di iTunes atau platform resmi lainnya.