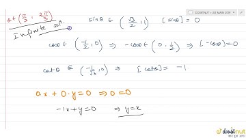
If [x] denotes the greatest integer ≤ x, then the system of linear equations [sinθ] x + [-cosθ]y=0

Tonton & Download Video Musik Gratis

⬇ DOWNLOAD NOW
Kalau muncul iklan pop-up, tutup lalu klik tombol kembali

Download lagu If [x] denotes the greatest integer ≤ x, then the system of linear equations [sinθ] x + [-cosθ]y=0 secara gratis hanya untuk keperluan promosi. Dukung artis favorit kamu dengan membeli musik original di iTunes atau platform resmi lainnya.