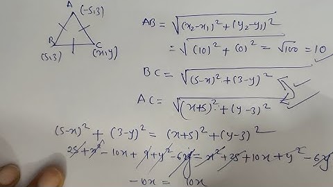
Q28 - If (-5,3) and (5,3) are two vertices of an equilateral triangle, then find coordinates of

Tonton & Download Video Musik Gratis

⬇ DOWNLOAD NOW
Kalau muncul iklan pop-up, tutup lalu klik tombol kembali

Download lagu Q28 - If (-5,3) and (5,3) are two vertices of an equilateral triangle, then find coordinates of secara gratis hanya untuk keperluan promosi. Dukung artis favorit kamu dengan membeli musik original di iTunes atau platform resmi lainnya.