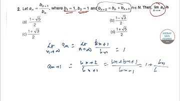
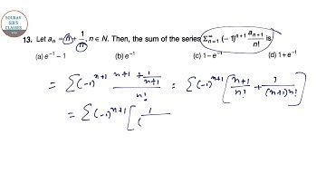
IIT JAM MATHEMATICS 2018 PART 8 PAST YEAR SOLVE,COMPLETE SOLUTION,ONLINE CLASSES

Tonton & Download Video Musik Gratis

⬇ DOWNLOAD NOW
Kalau muncul iklan pop-up, tutup lalu klik tombol kembali

Download lagu IIT JAM MATHEMATICS 2018 PART 8 PAST YEAR SOLVE,COMPLETE SOLUTION,ONLINE CLASSES secara gratis hanya untuk keperluan promosi. Dukung artis favorit kamu dengan membeli musik original di iTunes atau platform resmi lainnya.