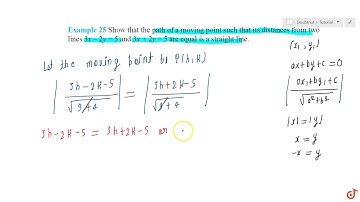
Show that the path of a moving point such that its distances from two lines `3x 2y = 5` and `3x ...

Tonton & Download Video Musik Gratis

⬇ DOWNLOAD NOW
Kalau muncul iklan pop-up, tutup lalu klik tombol kembali

Download lagu Show that the path of a moving point such that its distances from two lines `3x 2y = 5` and `3x ... secara gratis hanya untuk keperluan promosi. Dukung artis favorit kamu dengan membeli musik original di iTunes atau platform resmi lainnya.