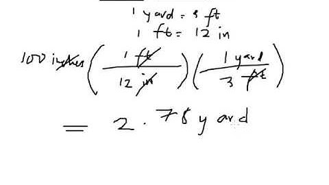
How to Convert 𝟏𝟒𝟒 𝑰𝒏𝒄𝒉𝒆𝒔 𝒕𝒐 𝒀𝒂𝒓𝒅𝒔: Dimensional Analysis

Tonton & Download Video Musik Gratis

⬇ DOWNLOAD NOW
Kalau muncul iklan pop-up, tutup lalu klik tombol kembali

Download lagu How to Convert 𝟏𝟒𝟒 𝑰𝒏𝒄𝒉𝒆𝒔 𝒕𝒐 𝒀𝒂𝒓𝒅𝒔: Dimensional Analysis secara gratis hanya untuk keperluan promosi. Dukung artis favorit kamu dengan membeli musik original di iTunes atau platform resmi lainnya.