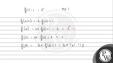
If \( f(1)=1 \) and \( f(n+1)=2 f(n)+1 \) if \( n \geq 1 \), then \...

Tonton & Download Video Musik Gratis

⬇ DOWNLOAD NOW
Kalau muncul iklan pop-up, tutup lalu klik tombol kembali

Download lagu If \( f(1)=1 \) and \( f(n+1)=2 f(n)+1 \) if \( n \geq 1 \), then \... secara gratis hanya untuk keperluan promosi. Dukung artis favorit kamu dengan membeli musik original di iTunes atau platform resmi lainnya.