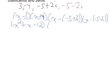
Write polynomial in standard form given an imaginary zero (Sect. 2.5 notes, example #3)

Tonton & Download Video Musik Gratis

⬇ DOWNLOAD NOW
Kalau muncul iklan pop-up, tutup lalu klik tombol kembali

Download lagu Write polynomial in standard form given an imaginary zero (Sect. 2.5 notes, example #3) secara gratis hanya untuk keperluan promosi. Dukung artis favorit kamu dengan membeli musik original di iTunes atau platform resmi lainnya.