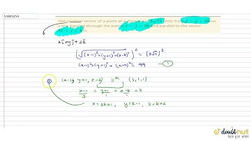
The distance of the point having position vector `-hati+2hatj+6hatk` from the straight line passing

Tonton & Download Video Musik Gratis

⬇ DOWNLOAD NOW
Kalau muncul iklan pop-up, tutup lalu klik tombol kembali

Download lagu The distance of the point having position vector `-hati+2hatj+6hatk` from the straight line passing secara gratis hanya untuk keperluan promosi. Dukung artis favorit kamu dengan membeli musik original di iTunes atau platform resmi lainnya.