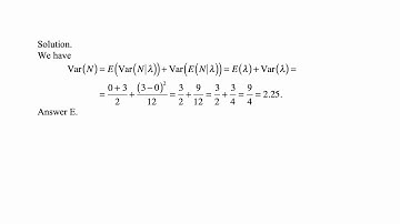
Formerly SOA P Sample Question 57 (This Question has now been deleted by SOA)

Tonton & Download Video Musik Gratis

⬇ DOWNLOAD NOW
Kalau muncul iklan pop-up, tutup lalu klik tombol kembali

Download lagu Formerly SOA P Sample Question 57 (This Question has now been deleted by SOA) secara gratis hanya untuk keperluan promosi. Dukung artis favorit kamu dengan membeli musik original di iTunes atau platform resmi lainnya.