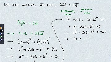
Proof of Arithmetic Mean No Less Than Geometric Mean By Mathematical Induction

Tonton & Download Video Musik Gratis

⬇ DOWNLOAD NOW
Kalau muncul iklan pop-up, tutup lalu klik tombol kembali

Download lagu Proof of Arithmetic Mean No Less Than Geometric Mean By Mathematical Induction secara gratis hanya untuk keperluan promosi. Dukung artis favorit kamu dengan membeli musik original di iTunes atau platform resmi lainnya.