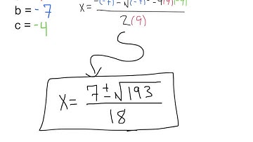
Alg2 Lesson 3.6 Solving Equations Using the Quadratic Formula - Complex Solution with Radicals

Tonton & Download Video Musik Gratis

⬇ DOWNLOAD NOW
Kalau muncul iklan pop-up, tutup lalu klik tombol kembali

Download lagu Alg2 Lesson 3.6 Solving Equations Using the Quadratic Formula - Complex Solution with Radicals secara gratis hanya untuk keperluan promosi. Dukung artis favorit kamu dengan membeli musik original di iTunes atau platform resmi lainnya.