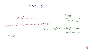
If the normals at three points \( P, Q, R \) of the parabola \( y^{2}=4 a x \) meet in a point \...

Tonton & Download Video Musik Gratis

⬇ DOWNLOAD NOW
Kalau muncul iklan pop-up, tutup lalu klik tombol kembali

Download lagu If the normals at three points \( P, Q, R \) of the parabola \( y^{2}=4 a x \) meet in a point \... secara gratis hanya untuk keperluan promosi. Dukung artis favorit kamu dengan membeli musik original di iTunes atau platform resmi lainnya.