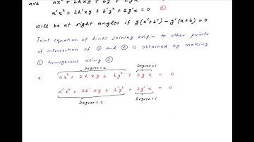
HOMOGENIZATION PAIR OF STRAIGHT LINES JOINING POINTS OF INTERSECTION, OF CURVE & LINE,TO FIXED POINT

Tonton & Download Video Musik Gratis

⬇ DOWNLOAD NOW
Kalau muncul iklan pop-up, tutup lalu klik tombol kembali

Download lagu HOMOGENIZATION PAIR OF STRAIGHT LINES JOINING POINTS OF INTERSECTION, OF CURVE & LINE,TO FIXED POINT secara gratis hanya untuk keperluan promosi. Dukung artis favorit kamu dengan membeli musik original di iTunes atau platform resmi lainnya.