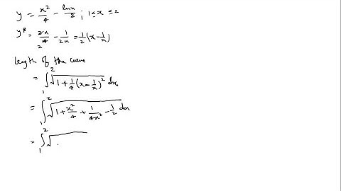
Find the exact length of the curve. Y=(y^2)/8+(1/4)y^2, 1 less than ... | Plainmath

Tonton & Download Video Musik Gratis

⬇ DOWNLOAD NOW
Kalau muncul iklan pop-up, tutup lalu klik tombol kembali

Download lagu Find the exact length of the curve. Y=(y^2)/8+(1/4)y^2, 1 less than ... | Plainmath secara gratis hanya untuk keperluan promosi. Dukung artis favorit kamu dengan membeli musik original di iTunes atau platform resmi lainnya.