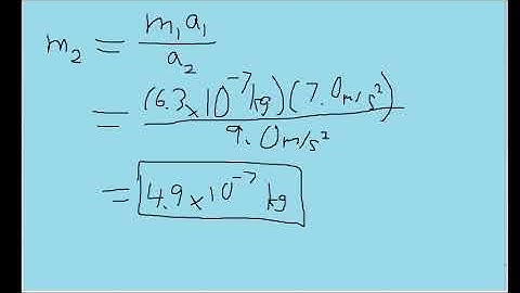
, , Two identically charged particles A and B initially at rest, are accelerated by a common pote...

Tonton & Download Video Musik Gratis

⬇ DOWNLOAD NOW
Kalau muncul iklan pop-up, tutup lalu klik tombol kembali

Download lagu , , Two identically charged particles A and B initially at rest, are accelerated by a common pote... secara gratis hanya untuk keperluan promosi. Dukung artis favorit kamu dengan membeli musik original di iTunes atau platform resmi lainnya.