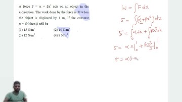
A force F = α + βx² acts on an object in the x - direction. The work done by the force is 5 J when

Tonton & Download Video Musik Gratis

⬇ DOWNLOAD NOW
Kalau muncul iklan pop-up, tutup lalu klik tombol kembali

Download lagu A force F = α + βx² acts on an object in the x - direction. The work done by the force is 5 J when secara gratis hanya untuk keperluan promosi. Dukung artis favorit kamu dengan membeli musik original di iTunes atau platform resmi lainnya.