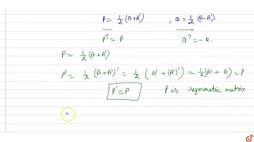
How do you express square matrix as the sum of a symmetric and a skew-symmetric matrix?

Tonton & Download Video Musik Gratis

⬇ DOWNLOAD NOW
Kalau muncul iklan pop-up, tutup lalu klik tombol kembali

Download lagu How do you express square matrix as the sum of a symmetric and a skew-symmetric matrix? secara gratis hanya untuk keperluan promosi. Dukung artis favorit kamu dengan membeli musik original di iTunes atau platform resmi lainnya.