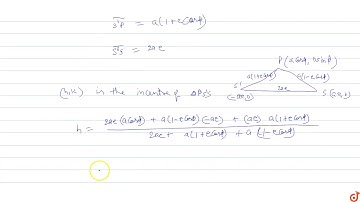
a variable point on ellipse,then locus of incentre of ΔPS1S2 is (s1 ands2)are foci.

Tonton & Download Video Musik Gratis

⬇ DOWNLOAD NOW
Kalau muncul iklan pop-up, tutup lalu klik tombol kembali

Download lagu a variable point on ellipse,then locus of incentre of ΔPS1S2 is (s1 ands2)are foci. secara gratis hanya untuk keperluan promosi. Dukung artis favorit kamu dengan membeli musik original di iTunes atau platform resmi lainnya.