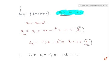
If the sum of the first n terms of an AP is `4n-n^2` , what is the first term (that is `S_1` )? ...

Tonton & Download Video Musik Gratis

⬇ DOWNLOAD NOW
Kalau muncul iklan pop-up, tutup lalu klik tombol kembali

Download lagu If the sum of the first n terms of an AP is `4n-n^2` , what is the first term (that is `S_1` )? ... secara gratis hanya untuk keperluan promosi. Dukung artis favorit kamu dengan membeli musik original di iTunes atau platform resmi lainnya.