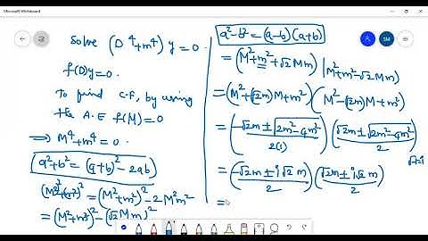
Higher Order Differential Equations Chapter - To find Complementary Function of f(D)y =0, Problems.

Tonton & Download Video Musik Gratis

⬇ DOWNLOAD NOW
Kalau muncul iklan pop-up, tutup lalu klik tombol kembali

Download lagu Higher Order Differential Equations Chapter - To find Complementary Function of f(D)y =0, Problems. secara gratis hanya untuk keperluan promosi. Dukung artis favorit kamu dengan membeli musik original di iTunes atau platform resmi lainnya.