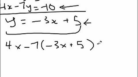
Alg 1A 7.2 System of Equations (Substitution) video with Mr. Langdon

Tonton & Download Video Musik Gratis

⬇ DOWNLOAD NOW
Kalau muncul iklan pop-up, tutup lalu klik tombol kembali

Download lagu Alg 1A 7.2 System of Equations (Substitution) video with Mr. Langdon secara gratis hanya untuk keperluan promosi. Dukung artis favorit kamu dengan membeli musik original di iTunes atau platform resmi lainnya.