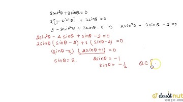
Let S={θ∈[-2π,2π]:2 〖cos〗^2⁡〖θ+3 sin⁡〖θ=0}〗 〗, then the sum of the elements of S is

Tonton & Download Video Musik Gratis

⬇ DOWNLOAD NOW
Kalau muncul iklan pop-up, tutup lalu klik tombol kembali

Download lagu Let S={θ∈[-2π,2π]:2 〖cos〗^2⁡〖θ+3 sin⁡〖θ=0}〗 〗, then the sum of the elements of S is secara gratis hanya untuk keperluan promosi. Dukung artis favorit kamu dengan membeli musik original di iTunes atau platform resmi lainnya.