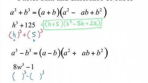
2013.2014 Honors Algebra 2 Notes 5.4 Sum Diff of Cubes Factor by Grouping

Tonton & Download Video Musik Gratis

⬇ DOWNLOAD NOW
Kalau muncul iklan pop-up, tutup lalu klik tombol kembali

Download lagu 2013.2014 Honors Algebra 2 Notes 5.4 Sum Diff of Cubes Factor by Grouping secara gratis hanya untuk keperluan promosi. Dukung artis favorit kamu dengan membeli musik original di iTunes atau platform resmi lainnya.