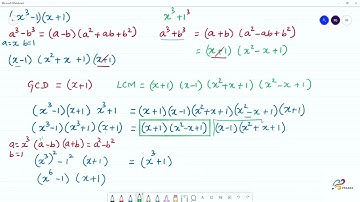
10th STD Maths Ex.3.3(1)(i) Finding LCM, GCD of given Alg exprs and verifying f(x) x g(x)= LCM x GCD

Tonton & Download Video Musik Gratis

⬇ DOWNLOAD NOW
Kalau muncul iklan pop-up, tutup lalu klik tombol kembali

Download lagu 10th STD Maths Ex.3.3(1)(i) Finding LCM, GCD of given Alg exprs and verifying f(x) x g(x)= LCM x GCD secara gratis hanya untuk keperluan promosi. Dukung artis favorit kamu dengan membeli musik original di iTunes atau platform resmi lainnya.