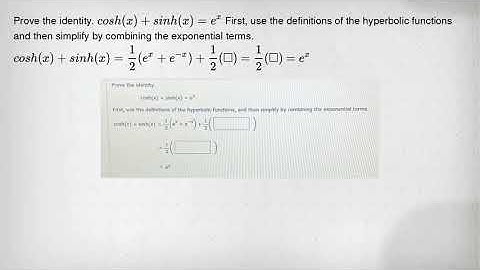
Prove identity cosh x + sinh x = e^x and cosh x - sinh x = e^(-x). Hyperbolic functions

Tonton & Download Video Musik Gratis

⬇ DOWNLOAD NOW
Kalau muncul iklan pop-up, tutup lalu klik tombol kembali

Download lagu Prove identity cosh x + sinh x = e^x and cosh x - sinh x = e^(-x). Hyperbolic functions secara gratis hanya untuk keperluan promosi. Dukung artis favorit kamu dengan membeli musik original di iTunes atau platform resmi lainnya.