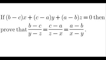
If x/(b+c-a)=y/(c+a-b)=z/(a+b-c), then (b-c)x+(c-a)y+(a-b)z=0

Tonton & Download Video Musik Gratis

⬇ DOWNLOAD NOW
Kalau muncul iklan pop-up, tutup lalu klik tombol kembali

Download lagu If x/(b+c-a)=y/(c+a-b)=z/(a+b-c), then (b-c)x+(c-a)y+(a-b)z=0 secara gratis hanya untuk keperluan promosi. Dukung artis favorit kamu dengan membeli musik original di iTunes atau platform resmi lainnya.