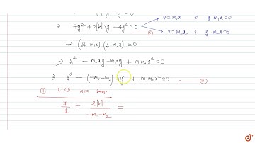
If the sum of the slopes of the lines given by \( 4 x^{2}+2 \lambda...

Tonton & Download Video Musik Gratis

⬇ DOWNLOAD NOW
Kalau muncul iklan pop-up, tutup lalu klik tombol kembali

Download lagu If the sum of the slopes of the lines given by \( 4 x^{2}+2 \lambda... secara gratis hanya untuk keperluan promosi. Dukung artis favorit kamu dengan membeli musik original di iTunes atau platform resmi lainnya.