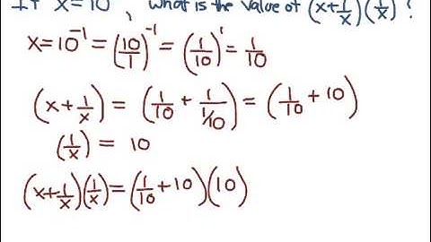
GRE Number Properties Question 10 | Numeric Entry | Rules Of Exponents

Tonton & Download Video Musik Gratis

⬇ DOWNLOAD NOW
Kalau muncul iklan pop-up, tutup lalu klik tombol kembali

Download lagu GRE Number Properties Question 10 | Numeric Entry | Rules Of Exponents secara gratis hanya untuk keperluan promosi. Dukung artis favorit kamu dengan membeli musik original di iTunes atau platform resmi lainnya.