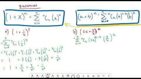
2020 Year 11 Mathematics Extension 1 Ex 15c Introduction to the Binomial Theorem

Tonton & Download Video Musik Gratis

⬇ DOWNLOAD NOW
Kalau muncul iklan pop-up, tutup lalu klik tombol kembali

Download lagu 2020 Year 11 Mathematics Extension 1 Ex 15c Introduction to the Binomial Theorem secara gratis hanya untuk keperluan promosi. Dukung artis favorit kamu dengan membeli musik original di iTunes atau platform resmi lainnya.