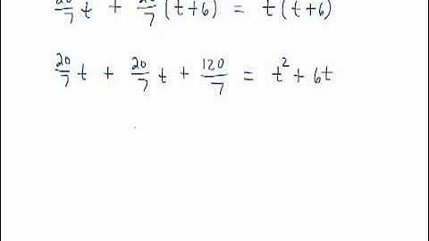
Bittinger Basic Math with Early Integers Chapter Test Prep Exercises: Ch. 6 Ex. 2

Tonton & Download Video Musik Gratis

⬇ DOWNLOAD NOW
Kalau muncul iklan pop-up, tutup lalu klik tombol kembali

Download lagu Bittinger Basic Math with Early Integers Chapter Test Prep Exercises: Ch. 6 Ex. 2 secara gratis hanya untuk keperluan promosi. Dukung artis favorit kamu dengan membeli musik original di iTunes atau platform resmi lainnya.