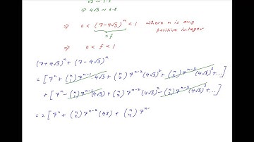
If p=(8+3 √(7))^n and f=p-[p], where [.] denotes the greatest integer function, then the value of...

Tonton & Download Video Musik Gratis

⬇ DOWNLOAD NOW
Kalau muncul iklan pop-up, tutup lalu klik tombol kembali

Download lagu If p=(8+3 √(7))^n and f=p-[p], where [.] denotes the greatest integer function, then the value of... secara gratis hanya untuk keperluan promosi. Dukung artis favorit kamu dengan membeli musik original di iTunes atau platform resmi lainnya.