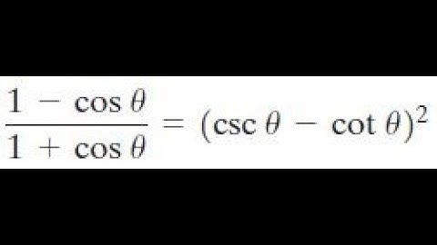
Verify Trig Identity (1 - cos x)/(1 + cos x) = (csc x - cot)^2. Expansion and Simplify

Tonton & Download Video Musik Gratis

⬇ DOWNLOAD NOW
Kalau muncul iklan pop-up, tutup lalu klik tombol kembali

Download lagu Verify Trig Identity (1 - cos x)/(1 + cos x) = (csc x - cot)^2. Expansion and Simplify secara gratis hanya untuk keperluan promosi. Dukung artis favorit kamu dengan membeli musik original di iTunes atau platform resmi lainnya.