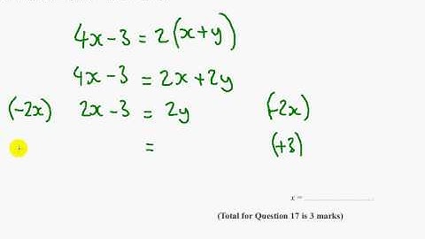
Edexcel GCSE Maths Modular Higher Unit 3 March 2012 Q2

Tonton & Download Video Musik Gratis

⬇ DOWNLOAD NOW
Kalau muncul iklan pop-up, tutup lalu klik tombol kembali

Download lagu Edexcel GCSE Maths Modular Higher Unit 3 March 2012 Q2 secara gratis hanya untuk keperluan promosi. Dukung artis favorit kamu dengan membeli musik original di iTunes atau platform resmi lainnya.