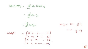
If A is a Square Matrix of order n then prove that A•(adjA) = (adjA)•A = |A|•I || Avnish Sir

Tonton & Download Video Musik Gratis

⬇ DOWNLOAD NOW
Kalau muncul iklan pop-up, tutup lalu klik tombol kembali

Download lagu If A is a Square Matrix of order n then prove that A•(adjA) = (adjA)•A = |A|•I || Avnish Sir secara gratis hanya untuk keperluan promosi. Dukung artis favorit kamu dengan membeli musik original di iTunes atau platform resmi lainnya.