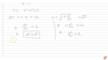
Let P(3,3) be a point on the hyperbola, x^2/a^2-y^2/b^2=1. If the normal to it atintersects the x...

Tonton & Download Video Musik Gratis

⬇ DOWNLOAD NOW
Kalau muncul iklan pop-up, tutup lalu klik tombol kembali

Download lagu Let P(3,3) be a point on the hyperbola, x^2/a^2-y^2/b^2=1. If the normal to it atintersects the x... secara gratis hanya untuk keperluan promosi. Dukung artis favorit kamu dengan membeli musik original di iTunes atau platform resmi lainnya.