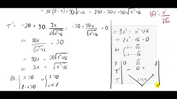
Toán 12: Cho các số thực không âm a,b,c thỏa mãn 2^a+4^b+8^c=4. Gọi M,m lần lượt GTLN, GTNN a+2b+3c

Tonton & Download Video Musik Gratis

⬇ DOWNLOAD NOW
Kalau muncul iklan pop-up, tutup lalu klik tombol kembali

Download lagu Toán 12: Cho các số thực không âm a,b,c thỏa mãn 2^a+4^b+8^c=4. Gọi M,m lần lượt GTLN, GTNN a+2b+3c secara gratis hanya untuk keperluan promosi. Dukung artis favorit kamu dengan membeli musik original di iTunes atau platform resmi lainnya.