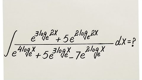
An Interesting Integral From MIT 2025 ||MIT & Jee Main Advanced Exam

Tonton & Download Video Musik Gratis

⬇ DOWNLOAD NOW
Kalau muncul iklan pop-up, tutup lalu klik tombol kembali

Download lagu An Interesting Integral From MIT 2025 ||MIT & Jee Main Advanced Exam secara gratis hanya untuk keperluan promosi. Dukung artis favorit kamu dengan membeli musik original di iTunes atau platform resmi lainnya.