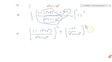
Show that the complex number `z ,` satisfying are `(z-1)/(z+1)=pi/4` lies on a circle.

Tonton & Download Video Musik Gratis

⬇ DOWNLOAD NOW
Kalau muncul iklan pop-up, tutup lalu klik tombol kembali

Download lagu Show that the complex number `z ,` satisfying are `(z-1)/(z+1)=pi/4` lies on a circle. secara gratis hanya untuk keperluan promosi. Dukung artis favorit kamu dengan membeli musik original di iTunes atau platform resmi lainnya.