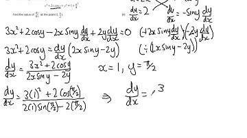
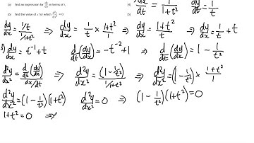
WJEC C3 June 2015 Q5 - Numerical Solution of Equations Solution

Tonton & Download Video Musik Gratis

⬇ DOWNLOAD NOW
Kalau muncul iklan pop-up, tutup lalu klik tombol kembali

Download lagu WJEC C3 June 2015 Q5 - Numerical Solution of Equations Solution secara gratis hanya untuk keperluan promosi. Dukung artis favorit kamu dengan membeli musik original di iTunes atau platform resmi lainnya.