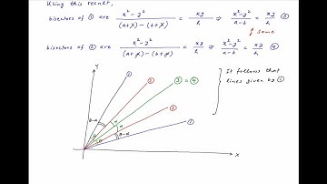
If the pair of lines `ax^2+2hxy+by^2= 0 (h^2 gt ab)` forms an equilateral triangle with the li...

Tonton & Download Video Musik Gratis

⬇ DOWNLOAD NOW
Kalau muncul iklan pop-up, tutup lalu klik tombol kembali

Download lagu If the pair of lines `ax^2+2hxy+by^2= 0 (h^2 gt ab)` forms an equilateral triangle with the li... secara gratis hanya untuk keperluan promosi. Dukung artis favorit kamu dengan membeli musik original di iTunes atau platform resmi lainnya.