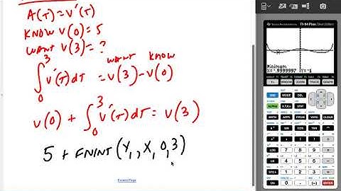
2012 AP Calculus AB Multiple Choice #89 - Integrating Acceleration to Determine Change in Velocity

Tonton & Download Video Musik Gratis

⬇ DOWNLOAD NOW
Kalau muncul iklan pop-up, tutup lalu klik tombol kembali

Download lagu 2012 AP Calculus AB Multiple Choice #89 - Integrating Acceleration to Determine Change in Velocity secara gratis hanya untuk keperluan promosi. Dukung artis favorit kamu dengan membeli musik original di iTunes atau platform resmi lainnya.