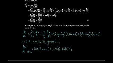
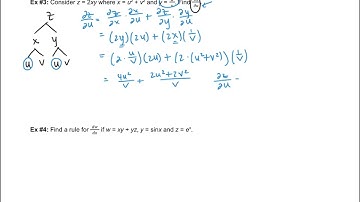
#calculus3 | #کالکولس3 | lecture 26 section 14.5 The Chain Rule Part B

Tonton & Download Video Musik Gratis

⬇ DOWNLOAD NOW
Kalau muncul iklan pop-up, tutup lalu klik tombol kembali

Download lagu #calculus3 | #کالکولس3 | lecture 26 section 14.5 The Chain Rule Part B secara gratis hanya untuk keperluan promosi. Dukung artis favorit kamu dengan membeli musik original di iTunes atau platform resmi lainnya.