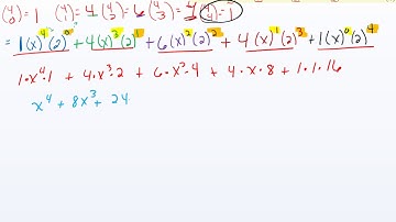
Precalculus Chapter 9.2 Quick Review Exercises 1-10 Introduction to Binomial Expansion

Tonton & Download Video Musik Gratis

⬇ DOWNLOAD NOW
Kalau muncul iklan pop-up, tutup lalu klik tombol kembali

Download lagu Precalculus Chapter 9.2 Quick Review Exercises 1-10 Introduction to Binomial Expansion secara gratis hanya untuk keperluan promosi. Dukung artis favorit kamu dengan membeli musik original di iTunes atau platform resmi lainnya.