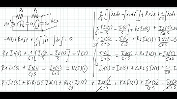
Función de Transferencia Circuito RLC, Simulación en Simulink MatLab.

Tonton & Download Video Musik Gratis

⬇ DOWNLOAD NOW
Kalau muncul iklan pop-up, tutup lalu klik tombol kembali

Download lagu Función de Transferencia Circuito RLC, Simulación en Simulink MatLab. secara gratis hanya untuk keperluan promosi. Dukung artis favorit kamu dengan membeli musik original di iTunes atau platform resmi lainnya.