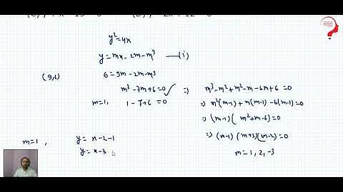
Let L be a normal to the parabola y2=4x. If L passes through the point (9, 6), then L is given by a

Tonton & Download Video Musik Gratis

⬇ DOWNLOAD NOW
Kalau muncul iklan pop-up, tutup lalu klik tombol kembali

Download lagu Let L be a normal to the parabola y2=4x. If L passes through the point (9, 6), then L is given by a secara gratis hanya untuk keperluan promosi. Dukung artis favorit kamu dengan membeli musik original di iTunes atau platform resmi lainnya.