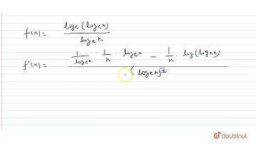
If ` f(x) = log_(x^(2)) (log_(e) x) "then f' (x) at x= e"` is

Tonton & Download Video Musik Gratis

⬇ DOWNLOAD NOW
Kalau muncul iklan pop-up, tutup lalu klik tombol kembali

Download lagu If ` f(x) = log_(x^(2)) (log_(e) x) "then f' (x) at x= e"` is secara gratis hanya untuk keperluan promosi. Dukung artis favorit kamu dengan membeli musik original di iTunes atau platform resmi lainnya.