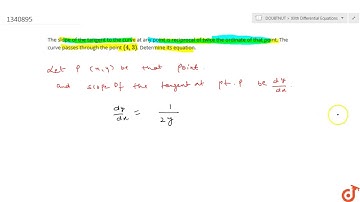
The slope of a curve, passing through (3,4) at any point is the reciprocal of twice the ordinate...

Tonton & Download Video Musik Gratis

⬇ DOWNLOAD NOW
Kalau muncul iklan pop-up, tutup lalu klik tombol kembali

Download lagu The slope of a curve, passing through (3,4) at any point is the reciprocal of twice the ordinate... secara gratis hanya untuk keperluan promosi. Dukung artis favorit kamu dengan membeli musik original di iTunes atau platform resmi lainnya.