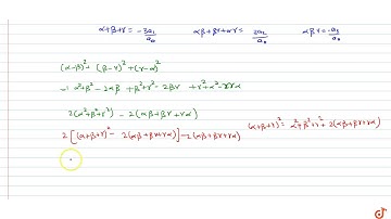
`Let alpha,beta,gamma `are the roots of the cubic `x^3+-3x^2+1=0` .Find a cubic whose roots are...

Tonton & Download Video Musik Gratis

⬇ DOWNLOAD NOW
Kalau muncul iklan pop-up, tutup lalu klik tombol kembali

Download lagu `Let alpha,beta,gamma `are the roots of the cubic `x^3+-3x^2+1=0` .Find a cubic whose roots are... secara gratis hanya untuk keperluan promosi. Dukung artis favorit kamu dengan membeli musik original di iTunes atau platform resmi lainnya.